English
全部
搜索
图片
视频
地图
资讯
更多
购物
航班
旅游
笔记本
报告不当内容
请选择下列任一选项。
无关
低俗内容
成人
儿童性侵犯
时长
全部
短(小于 5 分钟)
中(5-20 分钟)
长(大于 20 分钟)
日期
全部
过去 24 小时
过去一周
过去一个月
去年
清晰度
全部
低于 360p
360p 或更高
480p 或更高
720p 或更高
1080p 或更高
源
全部
Dailymotion
Vimeo
Metacafe
Hulu
VEVO
Myspace
MTV
CBS
Fox
CNN
MSN
价格
全部
免费
付费
清除筛选条件
安全搜索:
中等
严格
中等(默认)
关闭
筛选器
0:39
Facebook
Teacher Isaac
169K views · 3.1K reactions | How to find the derivative using chain rule | Teacher Isaac | Facebook
Teacher Isaac. Teacher Isaac · Original audio. How to find the derivative using chain rule
已浏览 6.6万 次
3 周前
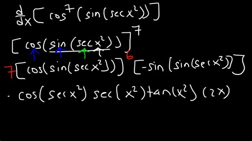
Chain Rule Examples
3:09
Chain Rule Examples
statisticshowto.com
2024年5月12日
6:18
Partial Derivative Chain Rule | Definition & Examples
Study.com
已浏览 4.2万 次
2018年12月10日
How to use chain rule and power rule together — Krista King Math | Online math help
kristakingmath.com
2019年5月11日
热门视频
9:40
Function Differentiation Using Chain Rule | Formula & Examples
Study.com
已浏览 5.6万 次
2012年5月7日
6:46
Further Maths: Differentiation involving function of a function using Chain Rule ( Part 1)(SS2)
YouTube
Model Physics,Maths...,Kids
已浏览 8 次
1 个月前
2:15
⛓️Chain Rule with 4 Nested Functions (Derivatives)⛓️
YouTube
JoeCMath
已浏览 821 次
1 个月前
Chain Rule Explained
4:40
10% Rule of Energy Transfer | Definition & Pyramid Percentages
Study.com
Ebony Potts
已浏览 29.8万 次
2016年5月4日
Understanding HSC Maths Differentiation: The Chain Rule
TikTok
mathify_hsc
已浏览 2.3万 次
2024年1月29日
Concept of Chain Rule - Differentiation | Class 11 Maths
YouTube
Magnet Brains
已浏览 46.3万 次
2020年6月11日
9:40
Function Differentiation Using Chain Rule | Formula & Examples
已浏览 5.6万 次
2012年5月7日
Study.com
6:46
Further Maths: Differentiation involving function of a function us
…
已浏览 8 次
1 个月前
YouTube
Model Physics,Maths...,Kids Edu.Videos
2:15
⛓️Chain Rule with 4 Nested Functions (Derivatives)⛓️
已浏览 821 次
1 个月前
YouTube
JoeCMath
29:07
Derivatives - Chain Rule
已浏览 4 次
3 个月之前
YouTube
Teacherman
Chain Rule For Finding Derivatives
已浏览 18 次
2024年3月11日
bilibili
郭帜扬
Derivative ln(u) (Chain Rule)
已浏览 1.2万 次
2014年3月28日
YouTube
PowerfulMath
Derivative Calculus: Applying the Chain Rule
已浏览 7.2万 次
2022年3月22日
TikTok
enhinyerongguro
Differentiation by Using Chain Rule || Derivatives || Urdu/Hind || Engr I
…
已浏览 4.9万 次
2020年6月14日
YouTube
Engr Muhammad Imran
Using the Chain Rule with Ease
已浏览 2750 次
2023年8月12日
YouTube
Math and Science
14:30
Derivatives... How? (NancyPi)
已浏览 144.6万 次
2018年5月16日
YouTube
NancyPi
12:48
Second Derivative Test
已浏览 85.6万 次
2018年3月5日
YouTube
The Organic Chemistry Tutor
4:15
❖ The Chain Rule ❖
已浏览 118.4万 次
2008年3月14日
YouTube
Patrick JMT
10:51
Higher Order Derivatives
已浏览 84.1万 次
2018年2月25日
YouTube
The Organic Chemistry Tutor
10:22
Calculus - Chain Rule - Derivatives
已浏览 7.5万 次
2019年12月22日
YouTube
The Organic Chemistry Tutor
7:13
Differentiation - The Chain Rule
已浏览 22.6万 次
2017年9月21日
YouTube
Maths Genie
16:36
The Chain Rule... How? When? (NancyPi)
已浏览 193.2万 次
2018年9月3日
YouTube
NancyPi
18:40
Chain Rule For Finding Derivatives
已浏览 448.9万 次
2017年5月11日
YouTube
The Organic Chemistry Tutor
15:43
The Chain Rule for Differentiation
已浏览 42.2万 次
2020年4月1日
YouTube
Starfish Maths
11:53
Derivatives of Rational Functions
已浏览 38万 次
2018年2月26日
YouTube
The Organic Chemistry Tutor
2:06
Chain Rule Steps to Differentiate y = (x^2 + 5)^3
已浏览 9.4万 次
2017年1月31日
YouTube
Cowan Academy
5:05
2.6 Chain Rule - Example 1 - e^(2x)
已浏览 23.3万 次
2011年6月24日
YouTube
rootmath
2:26
Second derivatives | Advanced derivatives | AP Calculus AB | Kha
…
已浏览 26.9万 次
2016年7月26日
YouTube
Khan Academy
5:11
Chain rule: 2nd derivatives example
已浏览 6.9万 次
2011年11月14日
YouTube
Dr Chris Tisdell
7:09
Calculus - The chain rule for derivatives
已浏览 30.3万 次
2013年9月22日
YouTube
MySecretMathTutor
17:47
The Chain Rule for Differentiation (Calculus 1)
已浏览 6280 次
2020年6月5日
YouTube
Houston Math Prep
5:44
Calculus - 2nd Derivative with Quotient Rule
已浏览 7.2万 次
2013年11月1日
YouTube
DrCraigMcBridePhD
5:47
Find The Derivative Using The Chain Rule
已浏览 5.5万 次
2019年12月23日
YouTube
The Organic Chemistry Tutor
21:10
Chain Rule With Partial Derivatives - Multivariable Calculus
已浏览 77.7万 次
2019年10月31日
YouTube
The Organic Chemistry Tutor
12:16
Implicit Differentiation - Find The First & Second Derivatives
已浏览 76.5万 次
2018年10月21日
YouTube
The Organic Chemistry Tutor
观看更多视频
更多类似内容
反馈